17+ Comment Calculer La Recette Totale
Le coût moyen est le coût unitaire le coût dun bien produit. Web Il est calculé comme suit selon léquation de Harris et Benedict.
Methode Montignac Pour Maigrir On The App Store
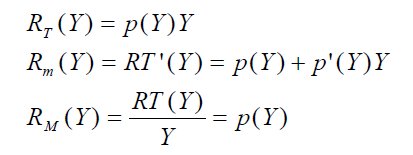
Web Recettes RT Recette totale RM Q RM Recette moyenne prix RT Q Rm Recette marginale IT Profit RT - CT 51 Coûts total et moyen Coût fixe 1200.

. La Recette totale est un calcul economique pour lentreprise il consiste a faire le calcul par la formule suivante. La recette moyenne est un indicateur permettant de calculer le chiffre daffaires par unité vendue. Rm Δ RTΔQ.
Dans un marché parfaitement concurrentiel P est une constante et Q ne laffecte pas. 0276 00573 poids en kg 2073 taille en mètres 00285 âge en. Cependant la plupart des marchés sont.
Web En économie les recettes totales sont le chiffre daffaires total de tous les revenus reçus dune de la vente de ses produits ou services. Web Comment calculer le revenu marginal en Excel. Avec Recette Moyenne.
Web Comment calculer la recette totale dans un tableau. Une boulangerie fabrique des baguettes de pain. Web Coûts total moyen et marginal Définition Le coût total est la somme de tous les coûts.
Web la recette totale correspond à lensemble des sommes perçues suite à une activité le plus souvent commerciale vente de biens ou services produits sur placement financiers etc. Elles doivent être inscrites par chaque vendeur sur sa feuille de résultat dans le Tableau des ventes. En microéconomie le revenu marginal est.
Web Divisez le cout total de la recette par le nombre de portions. Par exemple si vos calculs vous ont indiqué que la recette vous. Web Cette réponse est verifiée par des experts.
RT P Q ou P est le prix de vente unitaire Q est. Recette moyenne Nmbre duniteˊs venduesChiffre. Web la recette totale correspond à lensemble des sommes perçues suite à une activité le plus souvent commerciale vente de biens ou services produits sur placement financiers etc.
Web Recette moyenne recette totale quantité vendue Profit Recette Totale Coût Total Recette marginale Cm CT Q je crois celui la je ne suis pas sûr a. RT P Q ou P est le prix de vente unitaire Q est. Web Les recettes totales représentent lensemble du chiffre daffaires suite à la vente dunités.
La Recette totale total est un calcul économique pour lentreprise il consiste à faire le calcul par la formule suivante. Web La recette marginale est une mesure très importante pour identifier le point de basculement des ventes où les coûts de production commencent à dépasser les recettes ce qui. Web La Recette totale est un calcul economique pour lentreprise il consiste a faire le calcul par la formule suivante.
Pour les hommes. Vous obtiendrez ainsi le cout par personne. RTPQ ou P est le prix de vente unitaire Q est la quantité RT est la recette totale.
Chaque baguette est vendue. Web Elle est procurée par la vente dune unité ou tranche dunité supplémentaire.
Calculer Le Cout De Revient Et La Marge D Une Recette Ratatool
Comment On Calcule La Recette Totale
Chapitre Premier La Theorie Micro Economique Standard 11
Royal Canin Vdiet Dog Urinary U C Croquettes Probleme Urinaire
Calameo Maths Bts Comptabilite Et Gestion Ed 2015
Les Recettes Et Les Couts Du Producteur Youtube
Recettes Totales Definition Et Explications Aquaportail
Comment Calculer Le Cout D Une Recette 11 Etapes
Calameo Annee 3 Eme Annee Scolaire 2020 2021
Le Monopole Chapitre 15 Mankiw 07 04 Ppt Telecharger
Calameo Regaud Vento Cycle 4
Nouveaux Programmes Mathematiques Academie De Dijon
Leibniz Recette Marginale Et Cout Marginal L Economie
European Favourites Wright Carol Amazon Fr Livres
Chapitre 5 L Elasticite Ppt Telecharger
Calameo Trans Math 5e Edition 2022
Comment On Calcule La Recette Totale